为什么 flannel.1 丢失后不会自动重建

· 6 分钟阅读

背景

在用 K8s 的同学应该多少都使用过 Flannel 作为自己的网络插件,不讨论性能稳定性,在复杂的网络环境配置中 Flannel 的要求应该是最低的,所以我通常使用 Flannel 作为 让 K8s Ready 的最后一步。

在使用过程中,遇到过多次 flannel.1 这个 link 消失的情况,查看官方 Issue 中有人提到过: flannel.1 is deleted by service network restart, and never recreated again. ,但是这个 Issue 从 2017年创建一直到现在都处于 Open 状态,看上去社区也不打算去解决,其实不只是重启网络,如果没有特殊指定的话,找到默认网关所在的网卡,直接 ifdown ,flannel.1 也会丢失,并且不会重建,那为什么会出现这个问题,今天来看一看。

CNI Flannel Plugin

我们常说的 Flannel 分为两部分:CNI Flannel Plugin 及 Flannel。

CNI Flannel Plugin 是 Flannel CNI 插件的具体接口实现, CNI 要求实现的 cmdAdd cmdDel cmdCheck 都是在这里实现的,来看看具体的调用流程:

func cmdAdd(args *skel.CmdArgs) error {
    // 从标准输入加载配置
	n, err := loadFlannelNetConf(args.StdinData)
    ...
    // 加载子网配置:/run/flannel/subnet.env
	fenv, err := loadFlannelSubnetEnv(n.SubnetFile)
    ...
    // 执行添加动作
	return doCmdAdd(args, n, fenv)
}
func doCmdAdd(args *skel.CmdArgs, n *NetConf, fenv *subnetEnv) error {
	n.Delegate["name"] = n.Name
	if !hasKey(n.Delegate, "type") {
		n.Delegate["type"] = "bridge"
	}
	...
	if n.CNIVersion != "" {
		n.Delegate["cniVersion"] = n.CNIVersion
	}
	n.Delegate["ipam"] = map[string]interface{}{
		"type":   "host-local",
		"subnet": fenv.sn.String(),
		"routes": []types.Route{
			{
				Dst: *fenv.nw,
			},
		},
	}
    // 进行配置解析及填充后,执行委托类型插件进行配置,默认是 bridge,创建过程中会将配置保存到 /var/lib/cni/flannel ,删除时会用到
	return delegateAdd(args.ContainerID, n.DataDir, n.Delegate)
}

到这里已经跟 Flannel Plugin 无关了,是调用的其他插件完成的具体动作,再来看看删除动作:

func cmdDel(args *skel.CmdArgs) error {
	nc, err := loadFlannelNetConf(args.StdinData)
    ...
    // 执行删除动作
	return doCmdDel(args, nc)
}
func doCmdDel(args *skel.CmdArgs, n *NetConf) error {
    // 从 /var/lib/cni/flannel 中根据 ContainerID 读取配置,并在读取后删除配置
    netconfBytes, err := consumeScratchNetConf(args.ContainerID, n.DataDir)
    ...
	nc := &types.NetConf{}
	if err = json.Unmarshal(netconfBytes, nc); err != nil {
		return fmt.Errorf("failed to parse netconf: %v", err)
	}
    // 委托其他插件执行删除动作,默认 bridge
	return invoke.DelegateDel(context.TODO(), nc.Type, netconfBytes, nil)
}

到这里我们来捋一捋整个流程:

  1. kubelet 启动时查找可用 CNI 插件,并根据配置加载
  2. kubelet 创建容器前,通过 CNI Interface 调用相应方法执行 cmdAdd/cmdDel 命令
  3. CNI 根据配置信息调用对应的 Plugin 执行 cmdAdd/cmdDel

相应文件路径

/var/lib/cni/flannel

每个 Pod 的具体网络配置,配置内容如下

[root@install2 09:29:48 cni]$pwd
/var/lib/cni
[root@install2 09:29:51 cni]$cat flannel/d3f1220d58a72ebe5a92f8febbe6dd45d3bff65dce0ff6960f732f202026c24c |jq
{
  "cniVersion": "0.3.1",
  "hairpinMode": true,
  "ipMasq": false,
  "ipam": {
    "routes": [
      {
        "dst": "10.244.0.0/16"
      }
    ],
    "subnet": "10.244.1.0/24",
    "type": "host-local"
  },
  "isDefaultGateway": true,
  "isGateway": true,
  "mtu": 1450,
  "name": "cbr0",
  "type": "bridge"
}

/var/lib/cni/networks

IP 地址分配配置路径,默认 Flannel 使用的 ipam 是 host-local,bridge 是 cbr0 ,在这下面是已分配的 IP 地址:

[root@install2 09:31:48 cni]$pwd
/var/lib/cni
[root@install2 09:31:49 cni]$tree networks/
networks/
└── cbr0
    ├── 10.244.1.160
    ├── 10.244.1.161
    ├── 10.244.1.162
    ├── last_reserved_ip.0
    └── lock

1 directory, 5 files
[root@install2 09:31:53 cni]$cat networks/cbr0/10.244.1.162
d3f1220d58a72ebe5a92f8febbe6dd45d3bff65dce0ff6960f732f202026c24c
[root@install2 09:32:07 cni]$cat networks/cbr0/last_reserved_ip.0
10.244.1.162

/etc/cni/net.d

CNI 插件配置文件

[root@install2 09:34:47 net.d]$pwd
/etc/cni/net.d
[root@install2 09:34:48 net.d]$cat 10-flannel.conflist
{
  "name": "cbr0",
  "cniVersion": "0.3.1",
  "plugins": [
    {
      "type": "flannel",
      "delegate": {
        "hairpinMode": true,
        "isDefaultGateway": true
      }
    },
    {
      "type": "portmap",
      "capabilities": {
        "portMappings": true
      }
    }
  ]
}

大概了解了 CNI Flannel Plugin ,说好的 flannel.1 呢?既然确定了 flannel.1 不是 CNI Plugin 里面实现的,那肯定就是 Flannel 自己的行为了,接下来看 Flannel 代码就可以了。

Flannel

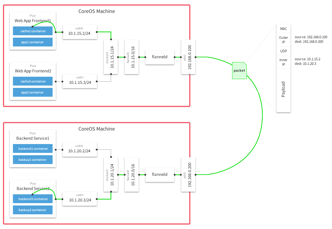
提到 Flannel,就不得不拿出这张图:

目录结构

root@localhost:~/go/src/github.com/coreos/flannel
master $ tree . -L 1
├── backend # 后端实现:vxlan,udp,hostgw
├── main.go # 入口
├── network # IPtables 相关配置
├── pkg     # 辅助功能,如 IP,Namespace
├── README.md
├── subnet  # 子网管理,K8s 通信相关

使用方式

我们先来回想一下 K8s 集群部署,我们通过 kubeadm 指定了 Pod CIDR 为 10.244.0.0/16

---
apiServer: {}
apiVersion: kubeadm.k8s.io/v1beta1
kind: ClusterConfiguration
kubernetesVersion: ""
networking:
  dnsDomain: ""
  podSubnet: 10.244.0.0/16
  serviceSubnet: ""

然后我们直接执行 kubectl apply -f https://raw.githubusercontent.com/coreos/flannel/master/Documentation/kube-flannel.yml 等待 Node Ready 即可,这样做的前提是因为我们指定的 Pod 子网是 Flannel 默认子网,两者必须相同才可以配置正确。

代码入口

func main() {
  ...
	sm, err := newSubnetManager()
  ...
	// 从 K8s 中获取配置信息,主要是子网信息
	config, err := getConfig(ctx, sm)
  ...
  // 创建 backend manager 并创建用来创建 backend 和注册网络
	bm := backend.NewManager(ctx, sm, extIface)
	be, err := bm.GetBackend(config.BackendType)
  ...
	bn, err := be.RegisterNetwork(ctx, wg, config)
  ...
	// 运行 backend
	log.Info("Running backend.")
	wg.Add(1)
	go func() {
		bn.Run(ctx)
		wg.Done()
	}()
  ...
}

在 main.go 中获取配置的来源是 ConfigMap:

[root@install1 11:00:39 ~]$kubectl get cm kube-flannel-cfg -n kube-system -o yaml
apiVersion: v1
data:
  cni-conf.json: |
    {
      "name": "cbr0",
      "cniVersion": "0.3.1",
      "plugins": [
        {
          "type": "flannel",
          "delegate": {
            "hairpinMode": true,
            "isDefaultGateway": true
          }
        },
        {
          "type": "portmap",
          "capabilities": {
            "portMappings": true
          }
        }
      ]
    }
  net-conf.json: |
    {
      "Network": "10.244.0.0/16",
      "Backend": {
        "Type": "vxlan"
      }
    }
kind: ConfigMap
metadata:
  annotations:
  creationTimestamp: "2019-12-30T02:37:21Z"
  labels:
    app: flannel
    tier: node
  name: kube-flannel-cfg
  namespace: kube-system
  resourceVersion: "235454"
  selfLink: /api/v1/namespaces/kube-system/configmaps/kube-flannel-cfg
  uid: fd9f67ee-ee1b-411d-8403-23ab05de56c8

可以看到默认的 Backend 是 vxlan,我们接着看 backend 和 vxlan 相关处理,在 backend/ 路径下放着些统一的接口定义,vxlan 是接口的具体实现:

root@localhost:~/go/src/github.com/coreos/flannel
master $ tree backend -L 1
backend
├── common.go
├── manager.go
├── route_network.go
├── route_network_test.go
├── route_network_windows.go
├── simple_network.go
├── udp
└── vxlan
    ├── device.go
    ├── device_windows.go
    ├── vxlan.go
    ├── vxlan_network.go
    ├── vxlan_network_windows.go
    └── vxlan_windows.go

RegisterNetwork

type Backend interface {
	// Called when the backend should create or begin managing a new network
	RegisterNetwork(ctx context.Context, wg sync.WaitGroup, config *subnet.Config) (Network, error)
}

看看 vxlan RegisterNetwork 做了什么:

func (be *VXLANBackend) RegisterNetwork(ctx context.Context, wg sync.WaitGroup, config *subnet.Config) (backend.Network, error) {
	// 解析配置
	cfg := struct {
		VNI           int
		Port          int
		GBP           bool
		Learning      bool
		DirectRouting bool
	}{
		VNI: defaultVNI,
	}

  // vtep 配置信息
	devAttrs := vxlanDeviceAttrs{
		vni:       uint32(cfg.VNI),
		name:      fmt.Sprintf("flannel.%v", cfg.VNI),
		vtepIndex: be.extIface.Iface.Index,
		vtepAddr:  be.extIface.IfaceAddr,
		vtepPort:  cfg.Port,
		gbp:       cfg.GBP,
		learning:  cfg.Learning,
	}

  // 创建 vtep
	dev, err := newVXLANDevice(&devAttrs)
	if err != nil {
		return nil, err
	}
	dev.directRouting = cfg.DirectRouting
}
func newVXLANDevice(devAttrs *vxlanDeviceAttrs) (*vxlanDevice, error) {
  // netlink 是 Golang 中操作网络相关的库,提供了创建 Vxlan 设备的接口
	link := &netlink.Vxlan{
		LinkAttrs: netlink.LinkAttrs{
			Name: devAttrs.name,
		},
		VxlanId:      int(devAttrs.vni),
		VtepDevIndex: devAttrs.vtepIndex,
		SrcAddr:      devAttrs.vtepAddr,
		Port:         devAttrs.vtepPort,
		Learning:     devAttrs.learning,
		GBP:          devAttrs.gbp,
	}

	link, err := ensureLink(link)
	if err != nil {
		return nil, err
	}
	return &vxlanDevice{
		link: link,
	}, nil
}
func ensureLink(vxlan *netlink.Vxlan) (*netlink.Vxlan, error) {
	err := netlink.LinkAdd(vxlan)
	if err == syscall.EEXIST {
		// it's ok if the device already exists as long as config is similar
    log.V(1).Infof("VXLAN device already exists")
    ...
		// 如果存在,则娇艳 原有设备是否兼容,如果不兼容则删除并重新创建设备
		if err = netlink.LinkAdd(vxlan); err != nil {
			return nil, fmt.Errorf("failed to create vxlan interface: %v", err)
		}
	} else if err != nil {
		return nil, err
	}

  ...
	return vxlan, nil
}

到这里我们就知道了是 Flannel 在进行 backend 注册的时候创建的 flannel.1 设备,如果我们想要简单粗暴的去修改代码实现,我们可以在 backend.Run() 方法中加入 ensureLink 检测逻辑,保证当发现对应 vtep 设备消失时,重新创建。但是这种实现方式就比较侵入,而且破坏了 backend 通用逻辑,我理解正确的处理方式应该是通过 health 探针去检测,如果检测到 Pod 处于 unhealthy 状态,自动重建 Pod,会重新进行 backend.RegisterNetwork 逻辑,就不存在这个问题了。

来看下默认的 Flannel YAML 文件,发现其中并没有 health 探针配置,还是有点奇怪的,这么一个基础的服务,居然没有做任何的健康检查,听上去有些不合道理。

于是我又去 Github 上查找相关的 Issue,果然发现了很多人遇到这个问题,倒是最终都没有提出比较好的方案来解决,其中 Eduard Català 分别提交了 2 个 PR 用来增加 Health Check 机制,但是不知道因为什么最终都没有合并:

我们来看看他的对应实现,通过检测对应的设备是否存在,如果不存在则不健康:

backend/vxlan/vxlan.go

func (be *VXLANBackend) CheckHealthz() error {
	_, err := net.InterfaceByName(be.extIface.Iface.Name)
	if err != nil {
		log.Errorf("Master interface %v disappeared. Waiting its return...", be.extIface.Iface.Name)
		for err != nil {
			time.Sleep(15 * time.Second)
			_, err = net.InterfaceByName(be.extIface.Iface.Name)
		}
		log.Errorf("Master interface: %v reappeared", be.extIface.Iface.Name)
	}

	_, err = net.InterfaceByName(be.network.dev.link.Name)
	if err != nil {
		log.Errorf("Flannel interface: %v not found - Requiring flannel restart ", be.network.dev.link.Name)
		return backend.FlannelRestart
	}
	return nil
}

总结

Flannel 社区活跃度不高,合并 PR 的速度更是慢的离谱,有很多存在很久的 Issue 也没有解决,感觉还是用着玩玩就好。

参考链接